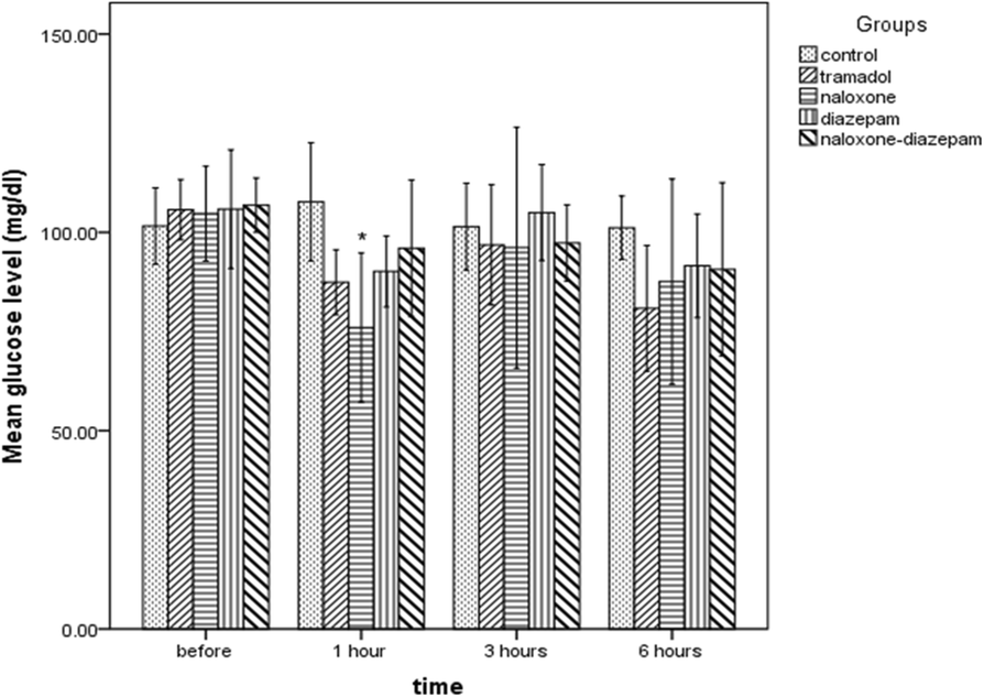
Fig. 3

Comparison of blood glucose levels in different times in Wistar rats of intraperitoneal (IP) 0.9%saline for14 days (control group), IP 25 mg/kg tramadol for 13 days and 75 mg/kg on the 14th day (tramadol group), IP 25 mg/kg tramadol for 13 days and 75 mg/kg tramadol + naloxone intravenous (IV) 2 mg/kg bolus followed by injection of 4 mg/kg/h 14th day (naloxone group), IP 25 mg/kg tramadol for13 days and 75 mg/kg tramadol + 1.77 mg/kg diazepam 15 min after tramadol injection on the 14th day (diazepam group), IP 25 mg/kg tramadol for 13 days and 75 mg/kg tramadol + naloxone intravenous (IV) 2 mg/kg bolus followed by injection of 4 mg/kg/h + 1.77 mg/kg diazepam 15 min after tramadol injection on the 14th day. Data are the mean ± SD. *p < 0.05 compared to control group