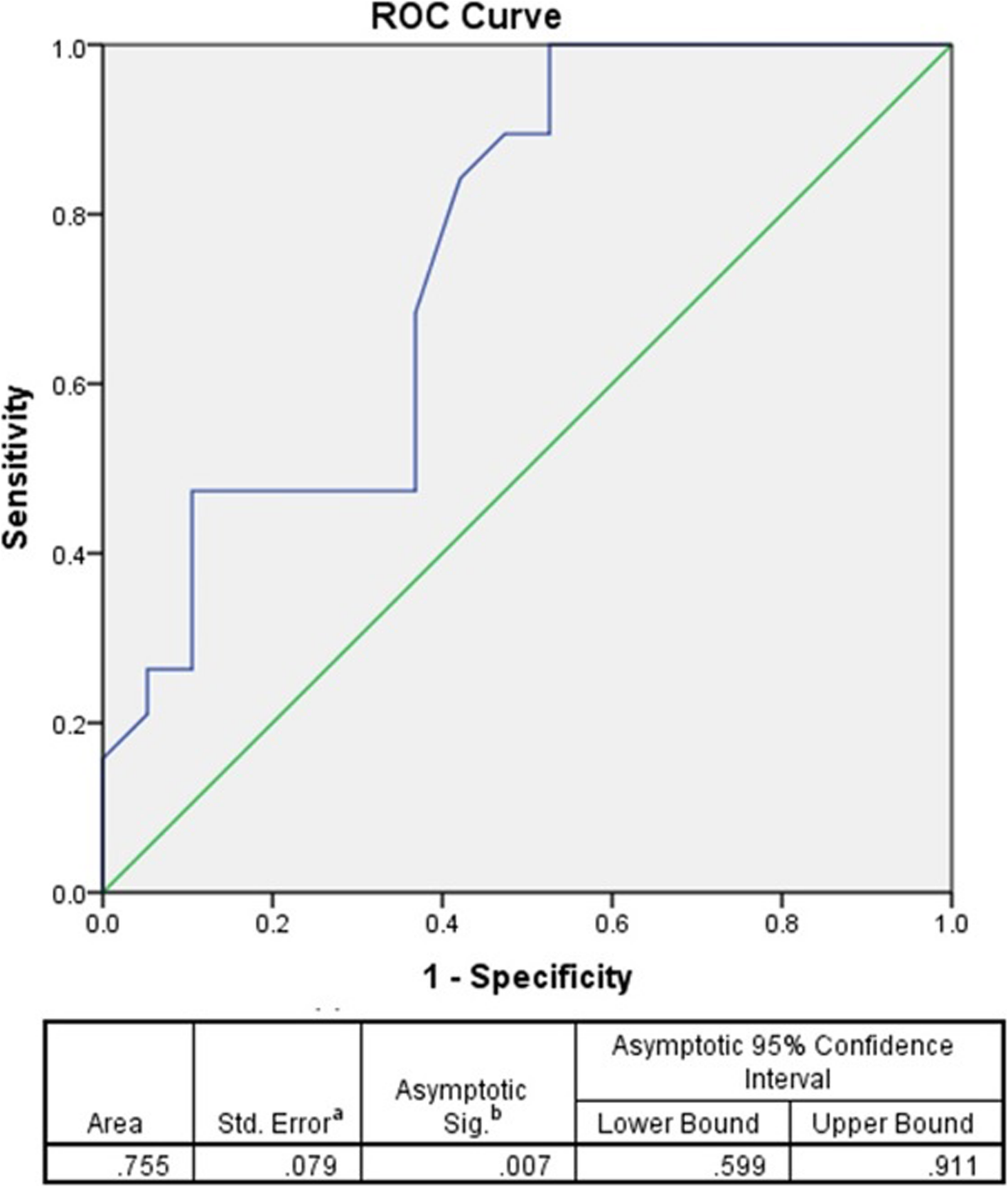
Fig. 2From: Up-regulation of sex-determining region Y-box 9 (SOX9) in growth hormone-secreting pituitary adenomasThe SOX9 gene expression ROC Curve. The SOX9 gene expression ROC Curve, area under the curve, 95% confidence interval, P-value is shownBack to article page